Skip to content
(0343) 426646
mail@sman3pasuruan.sch.id
Quick Links
facebook
twitter
instagram
youtube
Whatapps Layanan
Search for:
Menu
Home
PROFIL
Profil
SEJARAH SMAN 3 PASURUAN
Visi dan Misi
Keunggulan
Tujuan
Fasilitas
Mars Sekolah
Logo Sekolah
Tenaga Pendidik & Tenaga Kependidikan
Struktur Organisasi Sekolah
Program
TATA TERTIB SISWA
Adiwiyata
Sekolah Zonasi
Standar Pelayanan
Survey Kepuasan Masyarakat
Layanan Informasi Publik
Layanan Pengaduan
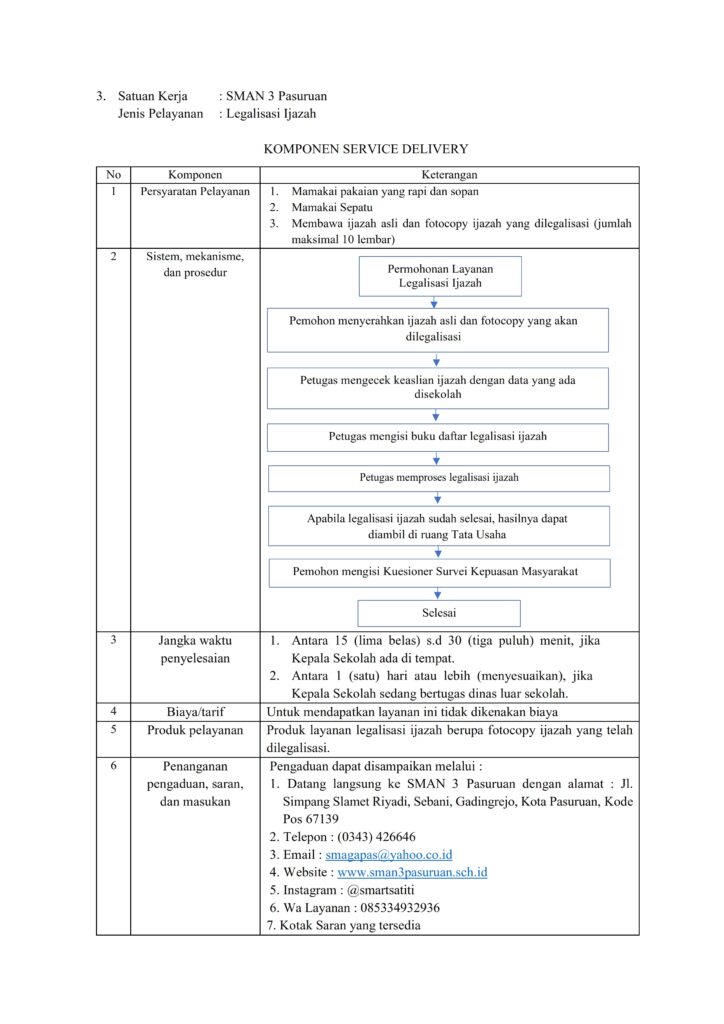
Layanan Legalisasi Ijazah
Layanan Penelitian dan Observasi
Maklumat Pelayanan
Kegiatan Sekolah
Informasi
Prestasi Siswa & Sekolah
Alumni
PEMILIHAN OSIS
SPMB
Info SPMB
Daftar Ulang
Gallery
Video
Foto
Buku Tamu
Hubungi Kami
SMAN 3 Pasuruan
>
Layanan Legalisasi Ijazah
Layanan Legalisasi Ijazah